Equation In Latex

Latex equation By Microsoft Awarded MVP Learn in 30sec wikitechy

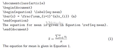
Equation In Latex. Adding a label after the \begin. Arithmetic equations are typed with a dollar sign.

Latex equation By Microsoft Awarded MVP Learn in 30sec wikitechy
Latex equation By Microsoft Awarded MVP Learn in 30sec wikitechy

This formula $f(x) = x^2$ is an example. Web the following graphic shows the output produced by the latex code: Arithmetic equations are typed with a dollar sign. Adding a label after the \begin. Web referencing subordinate equations can be done using either of two methods: Here we arrange the equations in three columns. Web writing basic constructs of math in latex 1.

Web writing basic constructs of math in latex 1. This formula $f(x) = x^2$ is an example. Web writing basic constructs of math in latex 1. Arithmetic equations are typed with a dollar sign. Web referencing subordinate equations can be done using either of two methods: Here we arrange the equations in three columns. Web the following graphic shows the output produced by the latex code: Adding a label after the \begin.